How to Perform Power Analysis for Means in SPSS: Step-by-Step Guide with Examples

Introduction
When working with statistical analysis in SPSS, Power Analysis helps you determine the sample size you need to detect a real effect in your data or assess whether your study has sufficient power with the existing sample. In this blog, we’ll explore the Power Analysis menu in detail, walk through each test type, and apply them to our student performance dataset so you can see them in action.
By mastering Power Analysis, you can design studies that are neither underpowered (risking missed significant results) nor overpowered (wasting time and resources). This ensures that your research is planned efficiently, produces reliable results, and makes the most of your available data.
Read Also : Power Analysis for Partial Correlation in SPSS
Hypothetical Dataset
We’ll work with a dataset of 20 university students.

1. What is Power Analysis in SPSS for Means?
The Power Analysis tools in SPSS are found here:
Analyze → Power Analysis → [Select appropriate test]
The Means category is used when you are comparing average values between one or more groups. It helps you determine if your sample size is adequate to detect a meaningful difference in means given a specific effect size, alpha level, and statistical power.
Below are the detailed steps and guidance for each test.
A. Means
B. What is a One-Sample t-Test in Power Analysis?
Purpose:
i. To determine whether the mean of a single sample is significantly different from a known or hypothesized population mean.
ii. Often used when you have a benchmark, historical average, or target value to compare against.
Example: Comparing Test_Score_Post to a benchmark of 75
Goal: Estimate the sample size required to detect a difference from 75 with power = 0.80 and α = 0.05.
Assumptions:
i. Data are continuous (interval or ratio scale).
ii. Sample is random and independent.
iii. Data are approximately normally distributed.
iv. The population standard deviation is unknown.
What are Steps in SPSS?
1. Go to Analyze → Power Analysis → Means → One-Sample t-test.
2. Select Test_Score_Post as the test variable.
3. Enter the Test Value = 75 (your benchmark).
4. Set Significance Level (α) to 0.05 (common default) and Desired Power to 0.80 (standard for research).
5. Specify Effect Size (Cohen’s d) if known, or allow SPSS to estimate it from your data.
6. Click OK.

Step-by-Step(Fill Dialogue Box):
1. Test Assumptions → Select “Estimate sample size”
i. Tick Estimate sample size (because you want to know how many participants are needed).
ii. In the Power box: enter 0.80.
2. Population means
i. Enter your expected sample mean (from prior data or pilot study).
ii. Example: If you expect students to score around 78, enter 78.
3. Null value
i. This is your benchmark value (population mean under H₀).
ii. Enter 75.
4. Population standard deviation
i. Enter the estimated SD from prior research or a pilot dataset.
ii. Example: 10 (if your pre-analysis suggests that variation).
5. Test Direction
i. Select Nondirectional (two-sided) analysis if you just want to test for any difference from 75.
ii. Select Directional (one-sided) analysis if you are only interested in detecting an increase or a decrease.
6. Significance level
i. Leave as 0.05 (common default for research).

What kind of Output you will get?
i. SPSS will show the required sample size for detecting the given effect size.
ii. If your current sample meets or exceeds this size, your test is adequately powered.
iii. If the power is below 0.80, results may be unreliable (risk of Type II error).

How to Interpret the Output?
1. Sample Size (N = 90)
i. SPSS calculated that 90 participants are needed to achieve the desired statistical power for this test, given your assumptions.
ii. This means: If you collect data from at least 90 individuals, you have an 80% chance of detecting a true difference from the null value (75) if it exists.
2. Actual Power (0.804)
i. This is the achieved statistical power, slightly above the target 0.80 (80%).
ii. Power is the probability of correctly rejecting the null hypothesis when it’s false.
iii. Here, a power of 0.804 means you have about an 80.4% chance of detecting a real effect, reducing the risk of a Type II error to about 19.6%.
3. Power (0.8)
i. This is the target power you entered in the dialog box. SPSS matched it closely with the actual calculated power.
4. Standard Deviation (SD = 10)
i. This is the assumed variability in your population scores.
ii. The greater the variability, the larger the sample you’ll need for the same power.
5. Effect Size (0.300)
i. Effect size here is Cohen’s d, calculated from your input (mean difference / standard deviation).
ii. A value of 0.3 is considered a small-to-moderate effect according to Cohen’s conventions.
iii. This means the expected difference from the null value (75) is modest compared to the variability in scores.
6. Significance Level (Sig. = 0.05)
i. The chosen α = 0.05 means you accept a 5% risk of making a Type I error (rejecting a true null hypothesis).
ii. This is the most common threshold in research.
What is Paired Sample t test?
Purpose:
Used to determine if the mean difference between two related measurements (e.g., before and after an intervention) is statistically significant, and to calculate the required sample size or achieved power.
Example:
You want to check if students’ post-test scores are significantly higher than their pre-test scores in your class.

What are Steps in SPSS?
Step 1 – Understand the paired comparison
i. We’re comparing Test_Score_Pre and Test_Score_Post for the same students.
Step 2 – Calculate inputs for SPSS
We need:
i. Population mean difference (Mean_Post − Mean_Pre)
ii. Standard deviation of the mean difference
iii. Sample size (pairs = number of students)
Let’s calculate them from your dataset:
i. Sample size (pairs): 20 students
ii. Mean Pre-test score:
= 67.3
Mean Post-test score:
=72
Mean difference:
72-67.3=4.7
SD of differences: You’d calculate this in Excel/SPSS by:
i. Creating a new column Diff = Test_Score_Post – Test_Score_Pre
ii. Using the STDEV.S function or SPSS’s Descriptive Statistics → Descriptives
iii. Let’s say this comes out to SD_diff ≈ 2.8 (hypothetical, you can check exact in SPSS).

Step 3 – Fill the SPSS dialog box
i. Test Assumptions → Select Estimate power (since you already have sample size = 20 pairs)
ii. Sample size = 20
iii. Mean → Select Population mean difference = 4.7
iv. Standard Deviation → Select Population standard deviation for mean difference = 2.8
v. Test Direction → Select Nondirectional (two-sided)
vi. Significance level = 0.05

How to write interpretation of Paired Sample t test in Power Analysis?
This paired-sample power analysis shows a power of 1.000, meaning the study has more than enough sensitivity to detect the observed improvement between pre- and post-test scores.
The analysis is based on 20 paired observations with a standard deviation of differences of 2.8.
The effect size of 1.679 indicates a very large improvement relative to the variability in differences.
At a significance level of 0.05 (two-tailed), the probability of a Type II error is essentially zero for this dataset.
Read More : Power Analysis for Proportions in SPSS
What is Independent-Sample t-Test – Power Analysis?
Purpose:
To check whether male and female students have significantly different post-test scores and to determine if the sample size is sufficient for detecting a meaningful difference.
Example:
You want to check if male and female students have significantly different post-test scores in your class.
From our dataset, We have:
i. Males (n = 10) — Test_Score_Post ranges from 65 to 85.
ii. Females (n = 10) — Test_Score_Post ranges from 69 to 80.

What are the Steps In SPSS?
Go to Analyze → Power Analysis → Means → Independent-Sample t-test.
Step 1 – Sample size for each group
From your data:
i. Group 1 = Males → 10 students
ii. Group 2 = Females → 10 students
Step 2 – Population mean difference
From your dataset, calculate the mean of Test_Score_Post for each gender:
i. Mean (Males) = (72+68+85+77+71+65+81+67+82+75) / 10 = 74.3
ii. Mean (Females) = (78+80+69+70+74+79+76+73+75+70) / 10 = 74.4
Population mean difference = 74.3 − 74.4 = -0.1 (absolute value: 0.1).
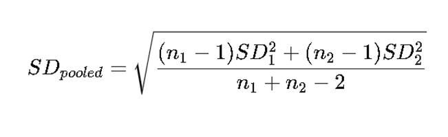
Step 3 – Pooled standard deviation
Formula:

From your data:
i. SD (Males) ≈ 6.0
ii. SD (Females) ≈ 3.7
Pooled SD ≈ 4.95.
Step 4 – Test direction and significance level
i. Select Nondirectional (two-sided) because we are testing for any difference.
ii. Significance level stays at 0.05

Final filled values:
i. Sample size for group 1: 10
ii. Sample size for group 2: 10
iii. Population mean difference: 0.1
iv. Pooled standard deviation: 4.95
v. Test direction: Nondirectional (two-sided)
vi. Significance level: 0.05

How to write interpretation of Independent-Sample t-Test – Power Analysis?
The analysis compares the post-test means between two independent groups (males and females) with equal variances assumed.
The effect size is very small (0.020), meaning the difference in group means is negligible relative to variability.
With only 10 participants per group, the achieved statistical power is just 0.050, far below the commonly desired 0.80 threshold.
This low power means there is a high risk of failing to detect a real difference if one exists.
What is One-Way ANOVA in Power Analysis?
Example: One-Way ANOVA Power Analysis in SPSS
Goal: Compare post-test mean scores across different GPA categories.
Dataset Used: 20 students with Test_Score_Post and GPA values.

What are steps in SPSS?
Step 1 – Create GPA Categories
From your data, categorize GPA into 3 groups:
i. Low GPA (≤ 3.0) n = 6
ii. Medium GPA (3.1–3.5) n =9
iii. High GPA (≥ 3.6) n = 5
Step 2 – Calculate Group Means
i. From your Test_Score_Post column:
| GPA Category | Mean Test_Score_Post |
| Low | 68.0 |
| Medium | 73.875 |
| High | 81.5 |
Step 3 – Calculate Pooled Population Standard Deviation
Pooled SD from your dataset = 2.40 (based on within-group variability).

Step 5 – Fill in the Dialog Box
In the dialog:
i. Estimate power (or choose Estimate sample size if needed)
ii. Pooled population standard deviation: 2.40
iii. Add groups:
| Group size | Group weight | Group mean |
| 5 | 1 | 68.0 |
| 8 | 1 | 73.875 |
| 6 | 1 | 81.5 |

How to write interpretation in One-Way ANOVA in Power Analysis?
This power analysis shows a Power of 1.000, meaning the test is virtually certain to detect real differences among GPA groups if they exist.
The total sample size is 20 students across all categories.
The pooled standard deviation of 2.4 and effect size of 2.831 indicate a very large difference between group means relative to variability.
At a significance level of 0.05, the null hypothesis that all group means are equal is highly unlikely to be retained.
For an in-depth understanding, please refer to our book, “Academic Research Fundamentals: Research Writing and Data Analysis”. It is available as an eBook here, or you may purchase the hardcopy here .